招生信息

首页    公司产品    招生信息    正文

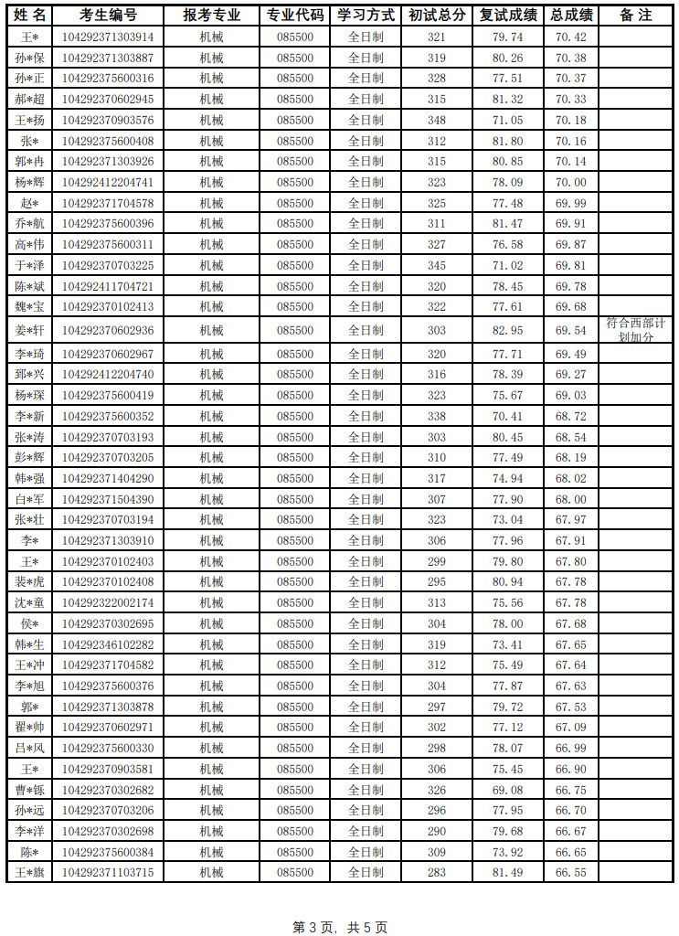
kai云体育官方app2022年硕士研究生一志愿复试考生成绩表

来源:kai云体育官方app时间:2022-03-31浏览:


上一页 [1] [2] [3] [4] [5] 下一页